Lojistik regresyon modelinin anlaşılması için öncelikle denklemler ve değişkenler konusunda temel bir kavrayış edinmek önemlidir.
Denklemler Matematikte, denklemler genellikle iki değişken arasındaki ilişkiyi ifade eder: x ve y. Bu denklemleri veya fonksiyonları, farklı x ve y değerleri koyarak x ekseni ve y ekseni boyunca bir grafik oluşturmak için kullanabilirsiniz. Örneğin, y = 2*x fonksiyonunun grafiğini çizdiğinizde, düz bir çizgi elde edersiniz, bu nedenle bu tür fonksiyonlara doğrusal fonksiyon da denir.

Değişkenler
İstatistikte, değişkenler veri faktörleridir ve özniteliklerin değerleri değişebilir. Analizlerde belirli değişkenler genellikle bağımsız veya açıklayıcı değişkenler olarak kabul edilir. Bu öznitelikler bir sonucun nedenidir. Diğer değişkenler ise bağımlı veya yanıt değişkenleridir ve değerleri bağımsız değişkenlere bağlıdır. Genel anlamda, lojistik regresyon, her iki değişkenin geçmiş veri değerlerine bakarak bağımsız değişkenlerin bir bağımlı değişkeni nasıl etkilediğini araştırır.
Yukarıdaki örnekte x, bilinen bir değere sahip olduğundan bağımsız değişken, tahmin değişkeni veya açıklayıcı değişken olarak adlandırılır. Y’nin değeri bilinmediğinden buna bağımlı değişken, sonuç değişkeni veya yanıt değişkeni denir.
Lojistik Regresyon Fonksiyonu
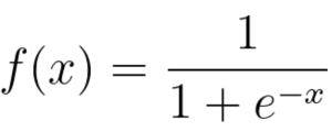
Lojistik regresyon, x ve y arasındaki denklemi ifade eden istatistiksel bir modeldir. Bu model, matematikte x ve y’yi birleştiren lojistik veya logit fonksiyonunu kullanır. Logit fonksiyonu, y’yi x’in sigmoid fonksiyonu olarak ifade eder.

Bu lojistik regresyon denklemini çizerseniz aşağıda gösterildiği gibi bir S eğrisi elde edersiniz.







